About Lesson
১. দৃশ্যকল্প-১ : বিদেশ গমনে ইচ্ছুক একটি পরিবারের সদস্যদের পরিচয় নির্ণয় করতে DNA পরীক্ষা করা হয়।
দৃশ্যকল্প-২ : বর্তমানে সিমুলেশন প্রযুক্তির মাধ্যমে কৃত্রিম পরিবেশ তৈরি করে বাংলাদেশ সেনাবাহিনীকে উন্নততর প্রশিক্ষণ দেয়া হচ্ছে।
২.

৩.সারাদেশে বাসা-বাড়িসহ অফিস আদালতে EMI প্রভাবমুক্ত ক্যাবলের মাধ্যমে ইন্টারনেট সংযোগ নিয়ে ৮০২.১১ স্ট্যান্ডার্ডের প্রযুক্তি ব্যবহার করে মোবাইল ফোনে ব্রডব্যান্ড ইন্টারনেট ব্যবহার করা হচ্ছে। তবে পার্বত্য অঞ্চলের মতো দুর্গম এলাকাতে টাওয়ার বসিয়ে তারবিহীন মাধ্যমে উচ্চগতির ইন্টারনেট সেবা দেয়া হচ্ছে।
৪

৫.¯স্নেহা লাইব্রেরি থেকে (250)10 টাকায় একটি গল্পের বই ক্রয় করে। তার বান্ধবী অর্চি (25)8 টাকা উক্ত বইটি একুশে বইমেলা থেকে সংগ্রহ করে। তারা দুজনেই (11011011)2 টাকা এবং (BC)16 টাকা দিয়ে আলাদা দু’টি স্কুল ব্যাগ ক্রয় করে।
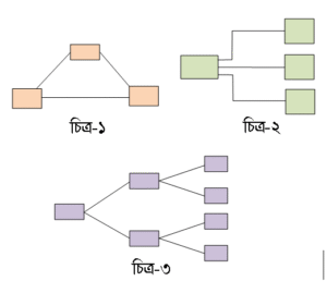
৬. দৃশ্যকল্প-১ :

দৃশ্যকল্প-২ : আইসিটি শিক্ষক তার কলেজের জন্য দুই ধরনের ওয়েবসাইট ডিজাইন করলেন। প্রথমটিতে হোমপেজ থেকে যে কোনো পেজে সরাসরি যাওয়া যায় না। তবে দ্বিতীয়টিতে যে কোনো পেজ থেকে যে কোনো পেজে সরাসরি যাওয়া যায়।
৭. 22 + 42 + 62 + . . . . + N2
৮.

সি-প্রোগ্রামে ধ্রুবক ঘোষণার দু’টি নিয়ম লেখ।
No Content
চিত্রে ব্যবহৃত প্রতীকগুলোর কাজ বর্ণনা কর।
No Content