নিচের উদ্দীপকটি পড় এবং প্রশ্নগুলোর উত্তর দাও। [রা. বো-১৯]

নিচের উদ্দীপকটি পড় এবং প্রশ্নগুলোর উত্তর দাও। [কু. বো-১৯]
আইসিটি শিক্ষক ক্লাসে html পড়াচ্ছিলেন। তিনি ছাত্রদের টেবিলটির ফাঁকা ঘরে Logo.jpg চিত্রটি প্রদর্শনসহ সস্পূর্ণ টেবিলটি তৈরির html code লিখে দেখালেন।

তারপর ছাত্রদের নিচের অনুচ্ছেদটির মতো আউটপুট পাওয়ার জন্য html code লিখতে বললেন:

নিচের উদ্দীপকটি পড়ে প্রশ্নগুলোর উত্তর দাও : [য. বো-১৯]

ইলা ও আনজুম দুই বান্ধবী মিলে ঐঞগখ দিয়ে ঋরৎংঃ, খধংঃ, ঘবীঃ, চৎবারড়ঁং লিংকবিশিষ্ট একটি ওয়েবসাইট তৈরি করে। ওয়েবসাইটটি দ্রæত ব্রাউজ করা গেলেও তথ্য নিয়মিত আপডেট করতে সমস্যা হওয়ায় তারা চঐচ, গুঝছখ, ইত্যাদি টুলস দিয়ে ওয়েবসাইটটি পরিবর্তনের সিদ্ধান্ত নেয়। [ব. বো-১৯]
ওয়েব সাইটটির স্ট্রাকচার ব্যাখ্যা কর।
নিচের উদ্দীপকটি পড়ে প্রশ্নগুলোর উত্তর দাও : [চ. বো-১৯]

শিলাদের কলেজের ওয়েবসাইটটি সার্ভার ও ব্রাউজকারীর মধ্যে উভয়মুখী ডেটা সরবরাহ করে। শিলা একটি ওয়েবপেজ তৈরি করে, যাতে “ourboard” লেখটিতে ক্লিক করলে www.e-board.edu.bd” ওয়েবসাইটটি প্রদর্শিত হয়। [সি. বো-১৯]
পত্রিকার অনলাইন ভার্সনের ই-পেপারে প্রথম পেইজ থেকে পরপর প্রতিটি পেইজ সাজানো থাকে। এ জন্য পাঠকগণের এ ধরনের পত্রিকা পড়ার প্রতি আগ্রহ দিন দিন বৃদ্ধি পাচ্ছে। ‘ক’ নামক বহুজাতিক কোম্পানি ওয়েবসাইট তৈরি করার ক্ষেত্রে খেয়াল রাখে, যাতে তাদের প্রতিষ্ঠানের যে কোনো তথ্য খুঁজে পেতে অসুবিধা না হয়। কারণ এ ধরনের ওয়েবসাইটের পেইজগুলো অনেকদিন থেকে সংযুক্ত থাকে। তাছাড়া সৌন্দর্য বৃদ্ধির দিকেও নজর দেয়। ‘খ’ কোম্পানি তাদের ওয়েবসাইটের পেইজগুলো এমনভাবে তৈরি করেছে, যার মূল পেইজের সাথে অন্যান্য পেইজগুলো সংযুক্ত থাকে। [দি. বো-১৯]
নিচের উদ্দীপকটি পড়ে প্রশ্নগুলোর উত্তর দাও : [মা. বো-১৯]

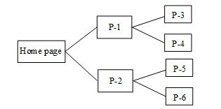
আইসিটি শিক্ষক আসমা ম্যাডাম ওয়েবপেজ তৈরির জন্য শিক্ষার্থীদের নিচের চিত্রের মতো ওয়েবপেজ কাঠামোর পরামর্শ দিলেন। শিক্ষার্থীদের মধ্যে অহনা চিত্র-১ এবং অরিত্র চিত্র-২ নং কাঠামো বেছে নিয়ে ওয়েবপেইজ তৈরি করল।[কু. বো-১৬]

আলোর সোপান বিদ্যালয় কর্তৃপক্ষ একটি ওয়েবসাইট তৈরির কথা ভাবছে। হোম পেজে “Campus JPG” নামক একটি ছবি, Information Technology, Physical Science ও Biological Science শাখাগুলোর ক্রমানুবর্তী তালিকা ও “Notice Board” নামক একটি লিংক থাকবে। কর্তৃপক্ষ একটি সফটওয়্যার ফার্মের তিন জন বিশেষজ্ঞকে ডাকলেন। বিশেষজ্ঞ দল দুই ধরনের সমাধান দিলেন। প্রথম পদ্ধতিতে খরচ কম কিন্তু নিয়মিত ডেটা আপডেট করতে সমস্যা হবে। দ্বিতীয় পদ্ধতিতে খরচ বেশি কিন্তু নিয়মিত ডেটা আপডেট করা যাবে। [রা. বো-১৬]
মি. “b” তার বাবার ল্যাবরেটরিতে প্রবেশের সময় একটি বিশেষ সেন্সরের দিকে তাকানোর ফলে দরজা খুলে গেল। ভেতরে প্রবেশ করে দেখলো, প্রথম কক্ষে জৈবতথ্যকে সাজিয়ে গুছিয়ে ইনফরমেশন সিস্টেম তৈরি সংক্রান্ত গবেষণা এবং দ্বিতীয় কক্ষে রিকম্বিনেন্ট ডিএনএ (DNA) তৈরি সংক্রান্ত গবেষণা করা হয়।
নিচের উদ্দীপকটি পড়ে প্রশ্নগুলোর উত্তর দাও : [য. বো-১৬]

‘X’ প্রতিষ্ঠানের হোমপেজে প্রতিষ্ঠানের প্রশাসনিক ভবনের ছবি দেয়া আছে। Employee.html ও Product.html নামে দু’টি ওয়েবপেজ হোমপেজের সাথে লিংক করা আছে। ওয়েবসাইটটি ইন্টারনেটে থাকলে বিশ্বের সচেতন মানুষ প্রতিষ্ঠান সম্পর্কে জানতে পারবে। [চ. বো-১৬]
বর্তমানে X কলেজ তাদের কার্যক্রম সুষ্ঠুভাবে পরিচালনার জন্য ডবনংরঃব তৈরির সিদ্ধান্ত গ্রহণ করেছে। এজন্য শুধুমাত্র html ব্যবহার করে শিক্ষার্থীদের নাম, পিতার নাম, জন্ম তারিখ, রোল নম্বর ও সেকশন ফিল্ড সংযুক্ত করে Student’s information নামক টেবিল তৈরি করে। তবে সরকারও বর্তমানে সকল স্কুল কলেজের হালনাগাদ তথ্য উপস্থাপনের জন্য ওয়েবসাইট তৈরি করার নির্দেশ দিয়েছেন। [সি. বো-১৬]
উচ্চ মাধ্যমিকের শিক্ষার্থীদের দুটি গ্রæপে ভাগ করে কলেজের নিজস্ব ওয়েবসাইট তৈরির জন্য বলা হলো। প্রথম গ্রæপ HTML, CSS ইত্যাদি ব্যবহার করে ওয়েবসাইটটি প্রস্তুত করে। দ্বিতীয় গ্রুপ CSS Mysql, php ইত্যাদি ব্যবহার করে তাদের ওয়েবসাইট তৈরি করে। বিচারকমন্ডলী ২য় গ্রুপের ওয়েবসাইটটি কলেজের জন্য পছন্দ করেন। ICT শিক্ষক কলেজের ওয়েবসাইটটির হোম পেজের Ministry of Education লেখাটির সাথেwww.moedu.gov.bd ওয়েব অ্যাড্রেসটি যুক্ত করেন। [দি. বো-১৬]
শুধুমাত্র HTML ব্যবহার করে চন্দনা মডেল কলেজের একটি ওয়েবসাইট তৈরি করা হয়। সাইটটির হোম পেজে ict.jpg নামের 200300px আকারের একটি ছবি আছে। ছবিটির নিচে notice.html নামের notice পেজের একটি লিংক আছে। ছবির উপরে Welcome to Chandana Model College” লেখাটি নীল রঙে প্রদর্শিত হয়। সাইটটিতে ভিজিটরদের মতামত প্রদানের মতো কোন ব্যবস্থা নেই। [বোর্ড-১৮(ক)]
নিচের উদ্দীপকটি পড় এবং প্রশ্নগুলোর উত্তর দাও। [বোর্ড-১৮(খ)]

দুই বন্ধু আনিস এবং ইকবাল ওয়েবপেইজ তৈরির প্রশিক্ষণ নেয়। আনিস চিত্র-১ এবং ইকবাল চিত্র-২ নং কাঠামো বেছে নিয়ে ওয়েব পেইজ তৈরি করে। [ব.বো-১৭]

নিচের উদ্দীপকটি পড় এবং প্রশ্নগুলোর উত্তর দাও। [ঢা. বো-১৬]
দৃশ্যকল্প-১

দৃশ্যকল্প-২ : শুভ ওয়েবপেজ তৈরির প্রশিক্ষণ নেয়। সে নিজের পরিচয় ও ছবি সংবলিত একটি ওয়েবপেজ তৈরি করে তা ব্রাউজারে রান করে নিজের কম্পিউটারে দেখে। সে তার ওয়েবপেজটিকে আরও তথ্য সমৃদ্ধ করে shouvo.net নামে চালু করার সিদ্ধান্ত নেয়। শুভ তার বন্ধু রাহুলকে এই কথা বললে সে বলে, “আজ রাতেই ইন্টারনেটে তোমার ওয়েবপেজ দেখব”। জবাবে শুভ বলে, “এখনই দেখতে পাবে না। আমাকে আরও কিছু পাবলিশিং-এর কাজ করতে হবে।”
নিচের উদ্দীপকটি পড়ে প্রশ্নগুলোর উত্তর দাও : [রা. বো-১৭]
মি. “Z” স্যার ক্লাসে html প্রোগ্রামিং দেখাচ্ছিলেন। তিনি একটি ওয়েবপেজে C ড্রাইভের পিকচার (picture) ফোল্ডারের মধ্যে রাখা Logo.jpg নামক একটি ইমেজ যুক্ত করলেন, যার সাইজ 500×300 পিক্সেল। অতঃপর তিনি ছাত্রদের বললেন তোমরা এমন একটি html কোড লেখ, যাতে উক্ত ইমেজের ওপর ক্লিক করলে www.education board.edu.bd ওয়েবসাইটটি প্রদর্শন করা যায়। তারপর তিনি নিচের টেবিলটি তৈরির html কোড লিখলেন:

মি. “b” তার বাবার ল্যাবরেটরিতে প্রবেশের সময় একটি বিশেষ সেন্সরের দিকে তাকানোর ফলে দরজা খুলে গেল। ভেতরে প্রবেশ করে দেখলো, প্রথম কক্ষে জৈবতথ্যকে সাজিয়ে গুছিয়ে ইনফরমেশন সিস্টেম তৈরি সংক্রান্ত গবেষণা এবং দ্বিতীয় কক্ষে রিকম্বিনেন্ট ডিএনএ (DNA) তৈরি সংক্রান্ত গবেষণা করা হয়।
নিচের উদ্দীপকটি পড়ে প্রশ্নগুলোর উত্তর দাও : [কু.বো-১৭]


নিচের উদ্দীপকটি পড়ে প্রশ্নগুলোর উত্তর দাও : [য.বো-১৭]
XYZ College, Dhaka
Available Honor`s subject:
- Bangla
- English
- Mathematics
- Accounting
নিচের উদ্দীপকটি পড়ে প্রশ্নগুলোর উত্তর দাও : [চ.বো-১৭]
দিদার Test পরীক্ষার ফলাফল প্রদর্শনের জন্য নিচের ওয়েবপেজটি তৈরি করে এবং test.html নামে সেভ করে রাখে :

নিচের উদ্দীপকটি পড়ে প্রশ্নগুলোর উত্তর দাও : [সি.বো-১৭]
প্রমিতা একটি ওয়েবসাইট তৈরির জন্য Home.html, Admission. html এবং Result.html নামে ৩টি পেজ তৈরি করল। Result.html পেজে নিম্নরূপ ফলাফল প্রদর্শিত হয় :

অতঃপর সে Home পেজ থেকে অন্যান্য পেজ-এ যাওয়ার ব্যবস্থা করল।
উদ্দীপকটি লক্ষ কর এবং নিচের প্রশ্নগুলোর উত্তর দাও: [দি-১৭, ]

করিমনগর মাদ্রাসার ওয়েবসাইটে অধ্যক্ষ ও শিক্ষকমন্ডলী ছবি ছাড়া তালিকা দেয়া আছে। সম্প্রতি শিক্ষা মন্ত্রণালয়ের চাহিদা মোতাবেক অধ্যক্ষ মহোদয় ছবিসহ ওয়েবসাইট পাবলিশ করার জন্য ICT শিক্ষককে বললে, তিনি জানালেন বর্তমান অবস্থায় মাদ্রাসার ওয়েবসাইটে ছবি আপলোড করা সম্ভব নয়। উক্ত সমস্যা সমাধানের জন্য অধ্যক্ষ মহোদয় ICT শিক্ষককে বিশেষজ্ঞের পরামর্শ নেয়ার জন্য নির্দেশ দিলেন। [মা.বো. ২০১৭]